

 Add:Chemical Industry Cluster Area of Shan Zhou District(Guanyintang), Sanmenxia, Henan Province, China.
        PC:472123
        Tel:+86-398-3711988;3711309
              3711967
        Fax:+86-398-3711988;3711996
        Contact:Mr Zhao ; Mr Chao
      
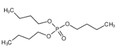
| Tributyl phosphateSynonyms : TBP; Tri-n-butyl phosphate; Phosphoric acid tri-n-butyl ester CAS-No : 126-73-8 Formula : C12H27O4P Molecular Weight : 266.32 Molecular structure :     Density: 0.9729 g/mL at 25 °C(lit.) Melting point: -70.8 °C Boiling point :289 °C(lit.) Flash point: 37°C Product Specifications: 
 
 
 
 
 
 Packaging : 200Kg/drum, or according to the customer request. Use : Used for main plasticizer for cellulosic resins and polyvinyl chloride, also used as plasticizer for polyvinyl acetate,alkyd resins,ethyl cellulose and rubbers. Storage : Stored at dry,shady,ventilated place. Prevented from collision and sunrays,rain-attack during handling and shipping. | 



.png)
 
 
 